
국제 천문학 자 팀은 NuSTAR 우주선과 NICER 장비를 사용하여 새로운 가속 밀리 초 X 선 펄서를 발견했습니다. 새로 발견 된 물체 인 IGR J17591-2342는 알려진 가속 밀리 초 X 선 펄서의 여전히 짧은 목록에 최근 추가 된 것입니다. 이는 8 월 30 일 arXiv 사전 인쇄 서버에 게시 된 문서에보고되었습니다.
X 선 펄서는 1 초도 안되는 짧은 시간에 X 선 강도에 심각한 주기적 변화를 보입니다. 밀리 초 X 선 펄서 (AMXP)의 축적은 질량이 낮은 별에서 결합 디스크를 통해 천천히 회전하는 중성자 별까지의 장기 질량 전달로 인해 짧은 회전 시간이 발생하는 X 선 펄서 유형입니다. 천문학 자들은 AMXP를 융합 폭발 과정에 대한 우리의 지식을 향상시키는 데 중요한 역할을 할 수있는 일종의 천체 물리학 실험실로보고 있습니다.
현재까지 21 개의 AMXP 만 감지되었으며 회전주기는 1.7 ~ 9.5 밀리 초입니다. 이러한 특정 물체의 목록을 확장하기 위해 과학계는 여전히 NASA 천체 물리 망원경 (NuSTAR)과 같은 우주 관측소를 사용하여 그러한 출처를 적극적으로 찾고 있습니다.
최근 이탈리아 칼리아리 대학의 Andrea Sanna가 이끄는 연구팀은 NuSTAR를 사용하여 새로운 AMXP를 식별했습니다. IGR J17591-2342라는 이름의이 출처는 원래 X 선 과도 현상으로 분류되어 2018 년 8 월 10 일 은하 중심을 스캔하기 위해 유럽 우주국의 천체 물리학 감마선 연구를위한 국제 실험실 (INTEGRAL)에 제출되었습니다. 팀은이 물체의 특성에 대한 데이터를 공개 한 NuSTAR를 사용하여이 소스를 관찰했습니다. ISS (International Space Station)에있는 Neutron Star Inner Composition Explorer (NICER)를 사용하여 펄서에 대한 추가 관찰을 수행했습니다.
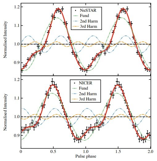
“이 기사에서 우리는 펄서와 이원 천체력의 회전주기를 보여주는 NuSTAR 및 NICER 관측의 타이밍에 대한 일관된 분석을 설명합니다.”
NuSTAR와 NICER의 데이터에서 팀은 15 % 운동량 분율 버스트가 시작된 지 거의 25 일 후에 약 527.4Hz (1.9 밀리 초)의 일관된 X 선 펄스를 발견했습니다.

문서에 따르면 IGR J17591-2342의 궤도주기는 약 8.8 시간입니다. 중성자 별의 질량은 약 1.4 태양 질량으로 계산되었으며 동반자의 최소 질량은 0.42 태양 질량 일 가능성이 높습니다.
또한 천문학 자들은 IGR J17591-2342가 지구에서 약 28,000 광년 떨어진 우리 은하계의 중심 근처에 위치한다고 지적했습니다. 추정 된 증가율은 연간 약 5 억 2 천만 태양 질량으로 밝혀졌습니다. IGR J17591-2342는 여전히 22 번째로 알려진 AMXP입니다. 이 기사의 저자는 그들의 발견이 항성 진화의 후기 단계를 이해하는 데 필요한 이러한 물체의 인구 조사를 풍부하게한다고 강조했습니다.
